
1과목 : 소프트웨어 설계
1. 운영체제 분석을 위해 리눅스에서 버전을 확인하고자 할 때 사용되는 명령어는?(문제 오류로 가답안 발표시 4번으로 발표되었지만 확정답안 발표시 2, 4번이 정답처리 되었습니다. 여기서는 가답안인 4번을 누르시면 정답 처리 됩니다.)
① ls ② cat
③ pwd ④ uname
❹ uname
2. 통신을 위한 프로그램을 생성하여 포트를 할당하고, 클라이언트의 통신 요청 시 클라이언트와 연결하는 내·외부 송·수신 연계기술은?
① DB링크 기술 ② 소켓 기술
③ 스크럼 기술 ④ 프로토타입 기술
❷ 소켓 기술
3. 객체지향 개념에서 연관된 데이터와 함수를 함께 묶어 외부와 경계를 만들고 필요한 인터페이스만을 밖으로 드러내는 과정은?
① 메시지(Message) ② 캡슐화(Encapsulation)
③ 다형성(Polymorphism) ④ 상속(Inheritance)
❷ 캡슐화(Encapsulation)
4. GoF(Gangs of Four) 디자인 패턴의 생성패턴에 속하지 않는 것은?
① 추상 팩토리(Abstract Factory)
② 빌더(Builder)
③ 어댑터(Adapter)
④ 싱글턴(Singleton)
❸ 어댑터(Adapter)
5. 응용프로그램의 프로시저를 사용하여 원격 프로시저를 로컬 프로시저처럼 호출하는 방식의 미들웨어는?
① WAS(Web Application Server)
② MOM(Message Oriented Middleware)
③ RPC(Remote Procedure Call)
④ ORB(Object Request Broker)
❸ RPC(Remote Procedure Call)
6. 바람직한 소프트웨어 설계 지침이 아닌 것은?
① 모듈의 기능을 예측할 수 있도록 정의한다.
② 이식성을 고려한다.
③ 적당한 모듈의 크기를 유지한다.
④ 가능한 모듈을 독립적으로 생성하고 결합도를 최대화한다.
❹ 가능한 모듈을 독립적으로 생성하고 결합도를 최대화한다.
7. 객체지향 분석 방법론 중 Coad-Yourdon 방법에 해당하는 것은?
① E-R 다이어그램을 사용하여 객체의 행위를 데이터 모델링하는데 초점을 둔 방법이다.
② 객체, 동적, 기능 모델로 나누어 수행하는 방법이다.
③ 미시적 개발 프로세스와 거시적 개발 프로세스를 모두 사용하는 방법이다.
④ Use-Case를 강조하여 사용하는 방법이다.
❶ E-R 다이어그램을 사용하여 객체의 행위를 데이터 모델링하는데 초점을 둔 방법이다.
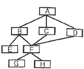
8. 다음은 어떤 프로그램 구조를 나타낸다. 모듈 F에서의 fan-in과 fan-out의 수는 얼마인가?

① fan-in : 2, fan-out : 3
② fan-in : 3, fan-out : 2
③ fan-in : 1, fan-out : 2
④ fan-in : 2, fan-out : 1
❷ fan-in : 3, fan-out : 2
9. 현행 시스템 분석에서 고려하지 않아도 되는 항목은?
① DBMS 분석 ② 네트워크 분석
③ 운영체제 분석 ④ 인적 자원 분석
❹ 인적 자원 분석
10. 분산 컴퓨팅 환경에서 서로 다른 기종 간의 하드웨어나 프로토콜, 통신환경 등을 연결하여 응용프로그램과 운영환경 간에 원만한 통신이 이루어질 수 있게 서비스를 제공하는 소프트웨어는?
① 미들웨어 ② 하드웨어
③ 오픈허브웨어 ④ 그레이웨어
❶ 미들웨어
11. CASE(Computer Aided Software Engineering)에 대한 설명으로 틀린 것은?
① 소프트웨어 모듈의 재사용성이 향상된다.
② 자동화된 기법을 통해 소프트웨어 품질이 향상된다.
③ 소프트웨어 사용자들에게 사용 방법을 신속히 숙지시키기 위해 사용된다.
④ 소프트웨어 유지보수를 간편하게 수행할 수 있다.
❸ 소프트웨어 사용자들에게 사용 방법을 신속히 숙지시키기 위해 사용된다.
12. UML(Unified Modeling Language)에 대한 설명 중 틀린 것은?
① 기능적 모델은 사용자 측면에서 본 시스템 기능이며, UML에서는 Use case Diagram을 사용한다.
② 정적 모델은 객체, 속성, 연관관계, 오퍼레이션의 시스템의 구조를 나타내며, UML에서는 Class Diagram을 사용한다.
③ 동적 모델은 시스템의 내부 동작을 말하며, UML에서는 Sequence Diagram, State Diagram, Activity Diagram을 사용한다.
④ State Diagram은 객체들 사이의 메시지 교환을 나타내며, Sequence Diagram은 하나의 객체가 가진 상태와 그 상태의 변화에 의한 동작순서를 나타낸다.
❹ State Diagram은 객체들 사이의 메시지 교환을 나타내며, Sequence Diagram은 하나의 객체가 가진 상태와 그 상태의 변화에 의한 동작순서를 나타낸다.
13. 기본 유스케이스 수행 시 특별한 조건을 만족할 때 수행하는 유스케이스는?
① 연관 ② 확장
③ 선택 ④ 특화
❷ 확장
14. 다음 중 요구사항 모델링에 활용되지 않는 것은?
① 애자일(Agile) 방법
② 유스케이스 다이어그램(Use Case Diagram)
③ 시컨스 다이어그램(Sequence Diagram)
④ 단계 다이어그램(Phase Diagram)
❹ 단계 다이어그램(Phase Diagram)
15. 디자인 패턴을 이용한 소프트웨어 재사용으로 얻어지는 장점이 아닌 것은?
① 소프트웨어 코드의 품질을 향상시킬 수 있다.
② 개발 프로세스를 무시할 수 있다.
③ 개발자들 사이의 의사소통을 원활하게 할 수 있다.
④ 소프트웨어의 품질과 생산성을 향상시킬 수 있다.
❷ 개발 프로세스를 무시할 수 있다.
16. 럼바우(Rumbaugh) 분석기법에서 정보모델링이라고도 하며, 시스템에서 요구되는 객체를 찾아내어 속성과 연산 식별 및 객체들 간의 관계를 규정하여 다이어그램을 표시하는 모델링은?
① Object ② Dynamic
③ Function ④ Static
❶ Object
17. 소프트웨어를 개발하기 위한 비즈니스(업무)를 객체와 속성, 클래스와 멤버, 전체와 부분 등으로 나누어서 분석해 내는 기법은?
① 객체지향 분석 ② 구조적 분석
③ 기능적 분석 ④ 실시간 분석
❶ 객체지향 분석
18. 애자일 소프트웨어 개발 기법의 가치가 아닌 것은?
① 프로세스의 도구보다는 개인과 상호작용에 더 가치를 둔다.
② 계약 협상보다는 고객과의 협업에 더 가치를 둔다.
③ 실제 작동하는 소프트웨어보다는 이해하기 좋은 문서에 더 가치를 둔다.
④ 계획을 따르기보다는 변화에 대응하는 것에 더 가치를 둔다.
❸ 실제 작동하는 소프트웨어보다는 이해하기 좋은 문서에 더 가치를 둔다.
19. UML 다이어그램 중 시스템 내 클래스의 정적 구조를 표현하고 클래스와 클래스, 클래스의 속성 사이의 관계를 나타내는 것은?
① Activity Diagram ② Modea Diagram
③ State Diagram ④ Class Diagram
❹ Class Diagram
20. 소프트웨어 설계시 제일 상위에 있는 main user function에서 시작하여 기능을 하위 기능들로 분할해 가면서 설계하는 방식은?
① 객체 지향 설계 ② 데이터 흐름 설계
③ 상향식 설계 ④ 하향식 설계
❹ 하향식 설계
2과목 : 소프트웨어 개발
21. 구현 단계에서의 작업 절차를 순서에 맞게 나열한 것은?

① ㉠-㉡-㉢-㉣ ② ㉡-㉠-㉣-㉢
③ ㉢-㉠-㉡-㉣ ④ ㉣-㉡-㉠-㉢
❷ ㉡-㉠-㉣-㉢
22. 다음 자료에 대하여 “Selection Sort”를 사용하여 오름차순으로 정렬한 경우 PASS 3의 결과는?

① 3, 4, 7, 9, 8 ② 3, 4, 8, 9, 7
③ 3, 8, 4, 9, 7 ④ 3, 4, 7, 8, 9
❶ 3, 4, 7, 9, 8
23. 하향식 통합시험을 위해 일시적으로 필요한 조건만을 가지고 임시로 제공되는 시험용 모듈은?
① Stub ② Driver
③ Procedure ④ Function
❶ Stub
24. 다음 전위식(prefix)을 후위식(postfix)으로 옳게 표현한 것은?

① A B C + D / * E - ② A B * C D / + E -
③ A B * C + D / E - ④ A B C + * D / E -
❹ A B C + * D / E -
25. 그래프의 특수한 형태로 노드(Node)와 선분(Branch)으로 되어 있고, 정점 사이에 사이클(Cycle)이 형성되어 있지 않으며, 자료 사이의 관계성이 계층 형식으로 나타나는 비선형 구조는?
① tree ② network
③ stack ④ distributed
❶ tree
26. 스택에 대한 설명으로 틀린 것은?
① 입출력이 한쪽 끝으로만 제한된 리스트이다.
② Head(front)와 Tail(rear)의 2개 포인터를 갖고 있다.
③ LIFO 구조이다.
④ 더 이상 삭제할 데이터가 없는 상태에서 데이터를 삭제하면 언더플로(Underflow)가 발생한다.
❷ Head(front)와 Tail(rear)의 2개 포인터를 갖고 있다.
27. 디지털 저작권 관리(DRM)에 사용되는 기술요소가 아닌 것은?
① 키관리 ② 방화벽
③ 암호화 ④ 크랙방지
❷ 방화벽
28. 여러 개의 선택 항목 중 하나의 선택만 가능한 경우 사용하는 사용자 인터페이스(UI)요소는?
① 토글 버튼 ② 텍스트 박스
③ 라디오 버튼 ④ 체크 박스
❸ 라디오 버튼
29. 소프트웨어의 일부분을 다른 시스템에서 사용할 수 있는 정도를 의미하는 것은?
① 신뢰성(Reliability) ② 유지보수성(Maintainability)
③ 가시성(Visibility) ④ 재사용성(Reusability)
❹ 재사용성(Reusability)
30. 자료구조에 대한 설명으로 틀린 것은?
① 큐는 비선형구조에 해당한다.
② 큐는 First In – First Out 처리를 수행한다.
③ 스택은 Lasr In – First out 처리를 수행한다.
④ 스택은 서브루틴 호출, 인터럽트 처리, 수식 계산 및 수식 표기법에 응용된다.
❶ 큐는 비선형구조에 해당한다.
31. 다음 중 블랙박스 검사 기법은?
① 경계값 분석 ② 조건 검사
③ 기초 경로 검사 ④ 루프 검사
❶ 경계값 분석
32. 이진 검색 알고리즘에 대한 설명으로 틀린 것은?
① 탐색 효율이 좋고 탐색 시간이 적게 소요된다.
② 검색할 데이터가 정렬되어 있어야 한다.
③ 피보나치 수열에 따라 다음에 비교할 대상을 선정하여 검색한다.
④ 비교횟수를 거듭할 때마다 검색 대상이 되는 데이터의 수가 절반으로 줄어든다.
❸ 피보나치 수열에 따라 다음에 비교할 대상을 선정하여 검색한다.
33. 소프트웨어 품질목표 중 쉽게 배우고 사용할 수 있는 정도를 나타내는 것은?
① Correctness ② Reliability
③ Usability ④ Integrity
❸ Usability
34. 테스트 케이스에 일반적으로 포함되는 항목이 아닌 것은?
① 테스트 조건 ② 테스트 데이터
③ 테스트 비용 ④ 예상 결과
❸ 테스트 비용
35. 소프트웨어 설치 매뉴얼에 포함될 항목이 아닌 것은?
① 제품 소프트웨어 개요 ② 설치 관련 파일
③ 프로그램 삭제 ④ 소프트웨어 개발 기간
❹ 소프트웨어 개발 기간
36. 소프트웨어 형상관리(Configyration management)에 관한 설명으로 틀린 것은?
① 소프트웨어에서 일어나는 수정이나 변경을 알아내고 제어하는 것을 의미한다.
② 소프트웨어 개발의 전체 비용을 줄이고, 개발 과정의 여러 방해 요인이 최소화되도록 보증하는 것을 목적으로 한다.
③ 형상관리를 위하여 구성된 팀을 “chief programmer team”이라고 한다.
④ 형상관리의 기능 중 하나는 버전 제어 기술이다.
❸ 형상관리를 위하여 구성된 팀을 “chief programmer team”이라고 한다.
37. 퀵 정렬에 관한 설명으로 옳은 것은?
① 레코드의 키 값을 분석하여 같은 값끼리 그 순서에 맞는 버킷에 분배하였다가 버킷의 순서대로 레코드를 꺼내어 정렬한다.
② 주어진 파일에서 인접한 두 개의 레코드 키 값을 비교하여 그 크기에 따라 레코드 위치를 서로 교환한다.
③ 레코드의 많은 자료 이동을 없애고 하나의 파일을 부분적으로 나누어 가면서 정렬한다.
④ 임의의 레코드 키와 매개변수(h)값만큼 떨어진 곳의 레코드 키를 비교하여 서로 교환해 가면서 정렬한다.
❸ 레코드의 많은 자료 이동을 없애고 하나의 파일을 부분적으로 나누어 가면서 정렬한다.
38. 해싱 함수(Hashing Function)의 종류가 아닌 것은?
① 제곱법(mid-square)
② 숫자분석법(digit analysis)
③ 개방주소법(open addressing)
④ 제산법(division)
❸ 개방주소법(open addressing)
39. 필드 테스팅(field testing)이라고도 불리며 개발자 없이 고객의 사용 환경에 소프트웨어를 설치하여 검사를 수행하는 인수검사 기법은?
① 베타 검사 ② 알파 검사
③ 형상 검사 ④ 복구 검사
❶ 베타 검사
40. 다음 트리를 Prorder 운행법으로 운행할 경우 다섯 번째로 탐색되는 것은?

① C ② E
③ G ④ H
❷ E
3과목 : 데이터베이스 구축
41. 결과 값이 아래와 같응래 SQL 질의로 옳은 것은?

① SELECT * FROM 공급자 WHERE공급자명 LIKE '%신%';
② SELECT * FROM 공급자 WHERE공급자명 LIKE '%대%';
③ SELECT * FROM 공급자 WHERE공급자명 LIKE '%사%';
④ SELECT * FROM 공급자 WHERE공급자명 IS NOT NULL;
❶ SELECT * FROM 공급자 WHERE 공급자명 LIKE '%신%';
42. 다음에서 설명하는 스키마(Schema)는?

① 개념 스키마 ② 내부 스키마
③ 외부 스키마 ④ 내용 스키마
❶ 개념 스키마
43. 데이터베이스 설계 단계 중 저장 레코드 양식설계, 레코드 집중의 분석 및 설계, 접근 경로 설계와 관계되는 것은?
① 논리적 설계 ② 요구 조건 분석
③ 개념적 설계 ④ 물리적 설계
❹ 물리적 설계
44. 다음 릴레이션의 카디널리티와 차수가 옳게 나타낸 것은?

① 카디널리티 : 4, 차수 : 4
② 카디널리티 : 4, 차수 : 6
③ 카디널리티 : 6, 차수 : 4
④ 카디널리티 : 6, 차수 : 6
❷ 카디널리티 : 4, 차수 : 6
45. 다음과 같은 트랙잭션의 특성은?

① 원자성(atomicity) ② 일관성(consistency)
③ 격리성(isolation) ④ 영속성(durability)
❷ 일관성(consistency)
46. 병행제어의 로킹(Locking) 단위에 대한 설명으로 옳지 않은 것은?
① 데이터베이스, 파일, 레코드 등은 로킹 단위가 될 수 있다.
② 로킹 단위가 작아지면 로킹 오버헤드가 증가한다.
③ 한꺼번에 로킹할 수 있는 단위를 로킹단위라고 한다.
④ 로킹 단위가 작아지면 병행성 수준이 낮아진다.
❹ 로킹 단위가 작아지면 병행성 수준이 낮아진다.
47. 뷰(VIEW)에 대한 설명으로 옳지 않은 것은?
① DBA는 보안 측면에서 뷰를 활용할 수 있다.
② 뷰 위에 또 다른 뷰를 정의할 수 있다.
③ 뷰에 대한 삽입, 갱신, 삭제 연산 시 제약사항이 따르지 않는다.
④ 독립적인 인덱스를 가질 수 없다.
❸ 뷰에 대한 삽입, 갱신, 삭제 연산 시 제약사항이 따르지 않는다.
48. 다음 정의에서 말하는 기본 정규형은?

① 제1정규형(1NF) ② 제2정규형(2NF)
③ 제3정규형(3NF) ④ 보이스/코드 정규형(BCNF)
❶ 제1정규형(1NF)
49. 릴레이션 R1에 속한 애튜리뷰트의 조합인 외래키를 변경하려면 이를 참조하고 있는 릴레이션 R2의 기본키도 변경해야 하는데 이를 무엇이라 하는가?
① 정보 무결성 ② 고유 무결성
③ 널 제약성 ④ 참조 무결성
❹ 참조 무결성
50. 시스템 카탈로그에 대한 설명으로 틀린 것은?
① 시스템 카탈로그의 갱신은 무결성 유지를 위하여 SQL을 이용하여 사용자가 직접 갱신하여야 한다.
② 데이터베이스에 포함되는 데이터 객체에 대한 정의나 명세에 대한 정보를 유지관리한다.
③ DBMS가 스스로 생성하고 유지하는 데이터베이스 내의 특별한 테이블의 집합체이다.
④ 카탈로그에 저장된 정보를 메타 데이터라고도 한다.
❶ 시스템 카탈로그의 갱신은 무결성 유지를 위하여 SQL을 이용하여 사용자가 직접 갱신하여야 한다.
51. 조건을 만족하는 릴레이션의 수평적 부분집합으로 구성하며, 연산자의 기호는 그리스 문자 시그마(σ)를 사용하는 관계대수 연산은?
① Select ② Project
③ Join ④ Division
❶ Select
52. SQL에서 스키마(schema), 도메인(domain), 테이블(table), 뷰(view), 인덱스(index)를 정의하거나 변경 또는 삭제할 때 사용하는 언어는?
① DML(Data Manipulation Language)
② DDL(Data Definition Language)
③ DCL(Data Control Language)
④ IDL(Interactive Data Language)
❷ DDL(Data Definition Language)
53. 정규화를 거치지 않아 발생하게 되는 이상(anomaly) 현상의 종류에 대한 설명으로 옳지 않은 것은?
① 삭제 이상이란 릴레이션에서 한 튜플을 삭제할 때 의도와는 상관없는 값들로 함께 삭제되는 연쇄 삭제 현상이다.
② 삽입 이상이란 릴레이션에서 데이터를 삽입할 때 의도와는 상관없이 원하지 않는 값들로 함께 삽입되는 현상이다.
③ 갱신 이상이란 릴레이션에서 튜플에 있는 속성값을 갱신할 때 일부 튜플의 정보만 갱신되어 정보에 모순이 생기는 현상이다.
④ 종속 이상이란 하나의 릴레이션에 하나 이상의 함수적 종속성이 존재하는 현상이다.
❹ 종속 이상이란 하나의 릴레이션에 하나 이상의 함수적 종속성이 존재하는 현상이다.
54. 관계 데이터 모델에서 릴레이션(relation)에 관한 설명으로 옳은 것은?
① 릴레이션의 각 행을 스키마(schema)라 하며, 예로 도서 릴레이션을 구성하는 스키마에서는 도서번호, 도서명, 저자, 가격 등이 있다.
② 릴레이션의 각 열을 튜플(tuple)이라 하며, 하나의 튜플은 각 속성에서 정의된 값을 이용하여 구성된다.
③ 도메인(domain)은 하나의 속성이 가질 수 있는 같은 타입의 모든 값의 집합으로 각 속성의 도메인은 원자값을 갖는다.
④ 속성(attribute)은 한 개의 릴레이션의 논리적인 구조를 정의한 것으로 릴레이션의 이름과 릴레이션에 포함된 속성들의 집합을 의미한다.
❸ 도메인(domain)은 하나의 속성이 가질 수 있는 같은 타입의 모든 값의 집합으로 각 속성의 도메인은 원자값을 갖는다.
55. 3NF에서 BCNF가 되기 위한 조건은?
① 이행적 함수 종속 제거
② 부분적 함수 종속 제거
③ 다치 종속 제거
④ 결정자이면서 후보 키가 아닌 것 제거
❹ 결정자이면서 후보 키가 아닌 것 제거
56. 데이터베이스 성능에 많은 영향을 주는 DBMS의 구성 요소로 테이블과 클러스터에 연관되어 독립적인 저장 공간을 보유하며, 데이터베이스에 저장된 자료를 더욱 빠르게 조회하기 위하여 사용되는 것은?
① 인덱스(Index) ② 트랙잭션(Transaction)
③ 역정규화(Denormalization) ④ 트리거(Trigger)
❶ 인덱스(Index)
57. 아래의 SQL문을 실행한 결과는?

①

②

③

④

❷

58. 『회원』테이블 생성 후 『주소』 필드(컬럼)가 누락되어 이를 추가하려고 한다. 이에 적합한 SQL명령어는?
① DELETE ② RESTORE
③ ALTER ④ ACCESS
❸ ALTER
59. 트랙잭션을 수행하는 도중 장애로 인해 손상된 데이터베이스를 손상되기 이전에 정상적인 상태로 복구시키는 작업은?
① Recovery ② Commit
③ Abort ④ Restart
❶ Recovery
60. E-R 다이어그램의 표기법으로 옳지 않은 것은?
① 개체타입 - 사각형
② 속성 - 타원
③ 관계집합 - 삼각형
④ 개체타입과 속성을 연결 – 선
❸ 관계집합 - 삼각형
4과목 : 프로그래밍 언어 활용
61. 다음 중 응집도가 가장 높은 것은?
① 절차적 응집도 ② 순차적 응집도
③ 우연적 응집도 ④ 논리적 응집도
❷ 순차적 응집도
62. OSI 7계층에서 물리적 연결을 이용해 신뢰성 있는 정보를 전송하려고 동기화, 오류제어, 흐름제어 등의 전송에러를 제어하는 계층은?
① 데이터 링크 계층 ② 물리 계층
③ 응용 계층 ④ 표현 계층
❶ 데이터 링크 계층
63. 운영체제를 기능에 따라 분류할 경우 제어 프로그램이 아닌 것은?
① 데이터 관리 프로그램 ② 서비스 프로그램
③ 작업 제어 프로그램 ④ 감시 프로그램
❷ 서비스 프로그램
64. IEEE 802.3 LAN에서 사용되는 전송매체 접속제어(MAC) 방식은?
① CSMA/CD ② Token Bus
③ Token Ring ④ Slotted Ring
❶ CSMA/CD
65. 기억공간이 15K, 23K, 22K, 21K 순으로 빈 공간이 있을 때 기억장치 배치 전력으로 “First Fit”을 사용하여 17K의 프로그램을 적재할 경우 내부단편화의 크기는 얼마인가?
① 5K ② 6K
③ 7K ④ 8K
❷ 6K
66. 교착상태가 발생할 수 있는 조건이 아닌 것은?
① Mutual exclusion ② Hold and wait
③ Non-preemption ④ Linear wait
❹ Linear wait
67. IPv6에 대한 설명으로 틀린 것은?
① 멀티캐스팅(Multicast) 대신 브로드캐스트(Broadcast)를 사용한다.
② 보안과 인증 확장 헤더를 사용함으로써 인터넷 계층의 보안기능을 강화하였다.
③ 애니캐스트(Anycast)는 하나의 호스트에서 그룹 내의 가장 가까운 곳에 있는 수신자에게 전달하는 방식이다.
④ 128비트 주소체계를 사용한다.
❶ 멀티캐스팅(Multicast) 대신 브로드캐스트(Broadcast)를 사용한다.
68. TCP/IP 프로토콜에서 TCP가 해당하는 계층은?
① 데이터 링크 계층 ② 네트워크 계층
③ 트랜스포트 계층 ④ 세션 계층
❸ 트랜스포트 계층
69. C언어에서 변수로 사용할 수 없는 것은?
① data02 ② int01
③ _sub ④ short
❹ short
70. 다음 JAVA 코드 출력문의 결과는?

① 5 + 2 = 34<chal>5 + 2 = 34
② 5 + 2 + 3 + 4<chal>5 + 2 = 7
③ 7 = 7<chal>7 + 7
④ 5 + 2 = 34<chal>5 + 2 = 7
❹ 5 + 2 = 34<chal>5 + 2 = 7
71. C언어에서 문자열을 정수형으로 변환하는 라이브러리 함수는?
① atoi( ) ② atof( )
③ itoa( ) ④ ceil( )
❶ atoi( )
72. 운영체제의 가상기억장치 관리에서 프로세스가 일정 시간동안 자주 참조하는 페이지들의 집합을 의미하는 것은?
① Locality ② Deadlock
③ Thrashing ④ Working Set
❹ Working Set
73. 결합도가 낮은 것부터 높은 순으로 옳게 나열한 것은?

① (ㄱ) → (ㄴ) → (ㄹ) → (ㅂ) → (ㅁ) → (ㄷ)
② (ㄴ) → (ㄹ) → (ㅁ) → (ㅂ) → (ㄷ) → (ㄱ)
③ (ㄴ) → (ㄹ) → (ㅂ) → (ㅁ) → (ㄷ) → (ㄱ)
④ (ㄱ) → (ㄴ) → (ㄹ) → (ㅁ) → (ㅂ) → (ㄷ)
❸ (ㄴ) → (ㄹ) → (ㅂ) → (ㅁ) → (ㄷ) → (ㄱ)
74. 다음 설명의 ㉠과 ㉡에 들어갈 내용으로 옳은 것은?

① ㉠ : Paging, ㉡ : Segmentation
② ㉠ : Segmentation, ㉡ : Allocatin
③ ㉠ : Segmentation, ㉡ : Compaction
④ ㉠ : Paging, ㉡ : Linking
❶ ㉠ : Paging, ㉡ : Segmentation
75. 라이브러리의 개념과 구성에 대한 설명 중 틀린 것은?
① 라이브러리란 필요할 때 찾아서 쓸 수 있도록 모듈화되어 제공되는 프로그램을 말한다.
② 프로그래밍 언어에 따라 일반적으로 도움말, 설치 파일, 샘플 코드 등을 제공한다.
③ 외부 라이브러리는 프로그래밍 언어가 기본적으로 가지고 있는 라이브러리를 의미하며, 표준 라이브러리는 별도의 파일 설치를 필요로 하는 라이브러리를 의미한다.
④ 라이브러리는 모듈과 패키지를 총칭하며, 모듈이 개별 파일이라면 패키지는 파일들을 모아 놓은 폴더라고 볼 수 있다.
❸ 외부 라이브러리는 프로그래밍 언어가 기본적으로 가지고 있는 라이브러리를 의미하며, 표준 라이브러리는 별도의 파일 설치를 필요로 하는 라이브러리를 의미한다.
76. C언어에서 산술 연산자가 아닌 것은?
① % ② *
③ / ④ =
❹ =
77. UDP 특성에 해당되는 것은?
① 양방향 연결형 서비스를 제공한다.
② 송신중에 링크를 유지관리하므로 신뢰성이 높다.
③ 순서제어, 오류제어, 흐름제어 기능을 한다.
④ 흐름제어나 순서제어가 없어 전송속도가 빠르다.
❹ 흐름제어나 순서제어가 없어 전송속도가 빠르다.
78. JAVA에서 변수와 자료형에 대한 설명으로 틀린 것은?
① 변수는 어떤 값을 주기억 장치에 기억하기 위해서 사용하는 공간이다.
② 변수의 자료형에 따라 저장할 수 있는 값의 종류와 범위가 달라진다.
③ char 자료형은 나열된 여러 개의 문자를 저장하고자 할 때 사용한다.
④ boolean 자료형은 조건이 참인지 거짓인지 판단하고자 할 때 사용한다.
❸ char 자료형은 나열된 여러 개의 문자를 저장하고자 할 때 사용한다.
79. 다음은 파이썬으로 만들어진 반복문 코드이다. 이 코드의 결과는?

① A, B, C 출력이 반복된다.
② A, B, C
③ A, B, C, D 출력이 반복된다.
④ A, B, C, D 까지만 출력된다.
❶ A, B, C 출력이 반복된다.
80. WAS(Web Application Server)가 아닌 것은?
① JEUS ② JVM
③ Tomcat ④ WebSphere
❷ JVM
5과목 : 정보시스템 구축관리
81. 다음 암호 알고리즘 중 성격이 다른 하나는?
① MD4 ② MD5
③ SHA-1 ④ AES
❹ AES
82. 크래커가 침입하여 백도어를 만들어 놓거나, 설정파일을 변경했을 때 분석하는 도구는?
① tripwire ② tcpdump
③ cron ④ netcat
❶ tripwire
83. 다음 내용이 설명하는 것은?

① GRID ② TELNET
③ GPN ④ MQTT
❹ MQTT
84. 나선형(Spiral) 모형의 주요 태스크에 해당되지 않는 것은?
① 버전 관리 ② 위험 분석
③ 개발 ④ 평가
❶ 버전 관리
85. 정보 보안을 위한 접근통제 정책 종류에 해당하지 않는 것은?
① 임의적 접근 통제 ② 데이터 전환 접근 통제
③ 강제적 접근 통제 ④ 역할 기반 접근 통제
❷ 데이터 전환 접근 통제
86. LOC기법에 의하여 예측된 총 라인수가 36,000라인, 개발에 참여할 프로그래머가 6명, 프로그래머들의 평균 생산성이 월간 300라인일 때 개발에 소요되는 기간은?
① 5개월 ② 10개월
③ 15개월 ④ 20개월
❹ 20개월
87. 정형화된 분석 절차에 따라 사용자 요구사항을 파악, 문서화하는 체계적 분석방법으로 자료흐름도, 자료사전, 소단위명세서의 특징을 갖는 것은?
① 구조적 개발 방법론 ② 객체지향 개발 방법론
③ 정보공학 방법론 ④ CBD 방법론
❶ 구조적 개발 방법론
88. 정보보호를 위한 암호화에 대한 설명으로 틀린 것은?
① 평문 – 암호화되기 전의 원본 메시지
② 암호문 – 암호화가 적용된 메시지
③ 복호화 – 평문을 암호문으로 바꾸는 작업
④ 키(Key) - 적절한 암호화를 위하여 사용하는 값
❸ 복호화 – 평문을 암호문으로 바꾸는 작업
89. 다음 내용이 설명하는 것은?

① OTT ② Baas
③ SDDC ④ Wi-SUN
❷ Baas
90. 소프트웨어 비용 산정 기법 중 개발 유형으로 organic, semi-detach, embedded로 구분되는 것은?
① PUTNAM ② COCOMO
③ FP ④ SLIM
❷ COCOMO
91. 다음 LAN의 네트워크 토폴로지는 어떤 형인가?

① 그물형 ② 십자형
③ 버스형 ④ 링형
❸ 버스형
92. 전기 및 정보통신기술을 활용하여 전력망을 지능화, 고도화함으로써 고품질의 전력서비스를 제공하고 에너지 이용효율을 극대화하는 전력망은?
① 사물 인터넷 ② 스마트 그리드
③ 디지털 아카이빙 ④ 미디어 빅뱅
❷ 스마트 그리드
93. 다음 내용이 설명하는 소프트웨어 개발 모형은?

① 프로토타입 모형 ② 나선형 모형
③ 폭포수 모형 ④ RAD 모형
❸ 폭포수 모형
94. 스트림 암호화 방식의 설명으로 옳지 않은 것은?
① 비트/바이트/단어들을 순차적으로 암호화한다.
② 해쉬 함수를 이용한 해쉬 암호화 방식을 사용한다.
③ RC4는 스트림 암호화 방식에 해당한다.
④ 대칭키 암호화 방식이다.
❷ 해쉬 함수를 이용한 해쉬 암호화 방식을 사용한다.
95. 세션 하이재킹을 탐지하는 방법으로 거리가 먼 것은?
① FTP SYN SEGNENT 탐지
② 비동기화 상태 탐지
③ ACK STORM 탐지
④ 패킷의 유실 및 재전송 증가 탐지
❶ FTP SYN SEGNENT 탐지
96. 소프트웨어공학에 대한 설명으로 거리가 먼 것은?
① 소프트웨어공학이란 소프트웨어의 개발, 운용, 유지보수 및 파기에 대한 체계적인 접근 방법이다.
② 소프트웨어공학은 소프트웨어 제품의 품질을 향상시키고 소프트웨어 생산성과 작업 만족도를 증대시키는 것이 목적이다.
③ 소프트웨어공학의 궁극적 목표는 최대의 비용으로 계획된 일정보다 가능한 빠른 시일 내에 소프트웨어를 개발하는 것이다.
④ 소프트웨어공학은 신뢰성 있는 소프트웨어를 경제적인 비용으로 획득하기 위해 공학적 원리를 정립하고 이를 이용하는 것이다.
❸ 소프트웨어공학의 궁극적 목표는 최대의 비용으로 계획된 일정보다 가능한 빠른 시일 내에 소프트웨어를 개발하는 것이다.
97. 소프트웨어 개발 방법론 중 CBD(Component Based Development)에 대한 설명으로 틀린 것은?
① 생산성과 품질을 높이고, 유지보수 비용을 최소화할 수 있다.
② 컴포넌트 제작 기법을 통해 재사용성을 향상시킨다.
③ 모듈의 분할과 정복에 의한 하향식 설계방식이다.
④ 독립적인 컴포넌트 단위의 관리로 복잡성을 최소화할 수 있다.
❸ 모듈의 분할과 정복에 의한 하향식 설계방식이다.
98. 정보 보안의 3요소에 해당하지 않는 것은?
① 기밀성 ② 무결성
③ 가용성 ④ 휘발성
❹ 휘발성
99. 소셜 네트워크에서 악의적인 사용자가 지인 또는 특정 유명인으로 가장하여 활동하는 공격 기법은?(문제 오류로 가답안 발표시 1번으로 발표되었지만 확정답안 발표시 1, 2번이 정답처리 되었습니다. 여기서는 가답안인 1번을 누르시면 정답 처리 됩니다.)
① Evil Twin Attack ② Phishing
③ Logic Bomb ④ Cyberbullying
❶ Evil Twin Attack
100. 공개키 암호에 대한 설명으로 틀린 것은?
① 10명이 공개키 암호를 사용할 경우 5개의 키가 필요하다.
② 복호화키는 비공개 되어 있다.
③ 송신자는 수신자의 공개키로 문서를 암호화한다.
④ 공개키 암호로 널리 알려진 알고리짐은 RSA가 있다.
❶ 10명이 공개키 암호를 사용할 경우 5개의 키가 필요하다.
2021년 정보처리 실기 1회는
작년 기술문제 마스터하고
주면 용어 같은거 외우면 거의
맞을 듯합니다.
작년 4,5차 통합 문제보다 쉽게 나온 듯 하네요.
'교육 > 정보처리기사(NCS)필기' 카테고리의 다른 글
| 2021년 NCS 정보처리기사 필기 3회 기출문제 가답안(2021년 8월 14일) (0) | 2021.08.25 |
|---|---|
| 2021년 정보처리기사 필기 2회 기출문제 가답안(2021년 05월 15일) (0) | 2021.06.08 |
| 2020년 정보처리기사 필기 4회 기출문제 가답안(2020년 09월 26일) (0) | 2021.04.29 |
| 2020년 8월 22일 정보처리기사 3회 필기 A형 문제 및 답안 (0) | 2020.09.29 |
| 2020년 06월 06일 정보처리기사 필기시험 A형 문제 및 답안(1,2회통합) (0) | 2020.09.27 |